Outcomes of Mitral Valve Transcatheter Edge-To-Edge Repair In Patients With Chronic Kidney Disease: A Systematic Review And Meta-Analysis
Abstract
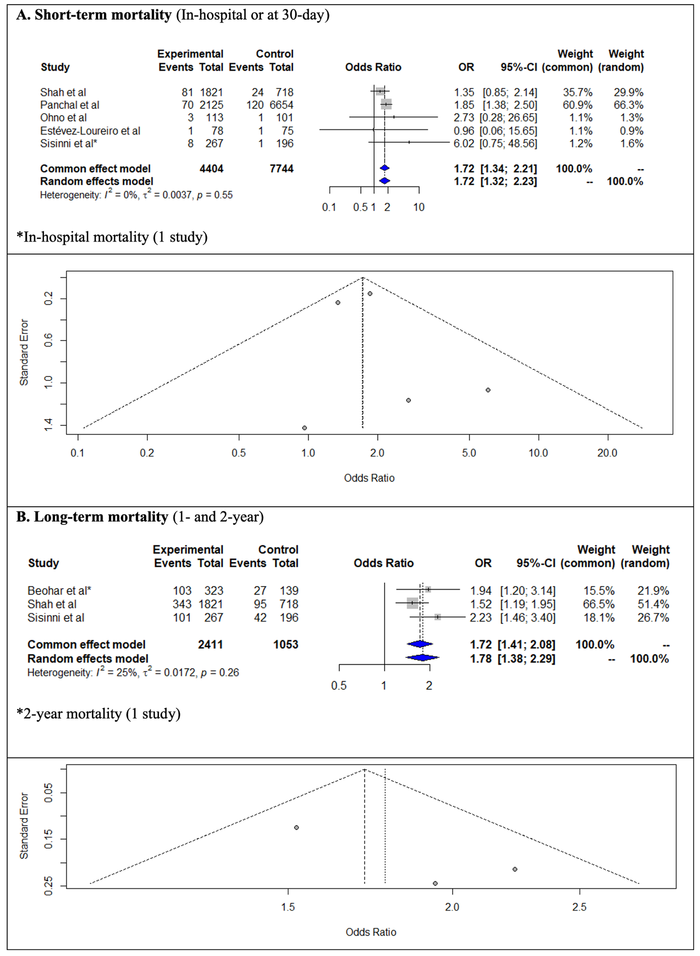
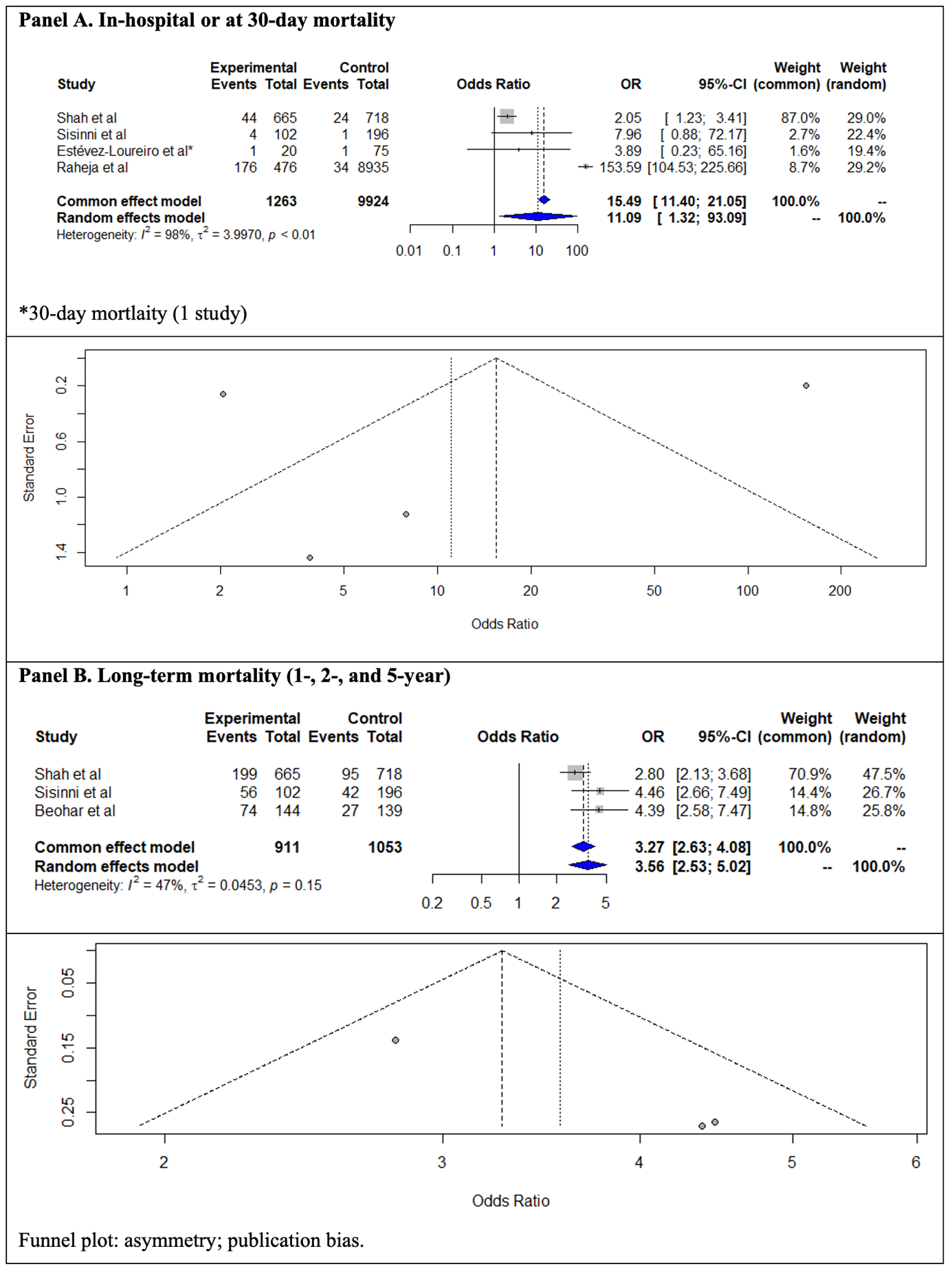
Background: Transcatheter edge-to-edge repair of the mitral valve (M-TEER) improves outcomes in patients with chronic severe symptomatic mitral valve regurgitation who are at high risk for surgical mitral valve repair or replacement. This systematic review and meta-analysis aimed to describe the outcomes of M-TEER in patients with moderate-to-severe (stage III; Group 1) chronic kidney diseases (CKD) and end-stage kidney disease (stages IV-V; Group 2) in comparison with those with normal kidney function or mild CKD (stages I-II; Group 3). Methods: A systematic literature search of PubMed, Scopus, and Embase was conducted from inception to December 10th, 2023. The odds ratio (OR) with a 95% confidence interval (CI) was pooled using the random-effects model. Results: We screened 6,090 articles of which 40 citations were reviewed in full texts. Eight cohort observational studies met the eligibility criteria. Group 1 versus Group 3: short-term and long-term mortality were significantly higher in Group 1 [(OR 1.73, CI: 1.30-2.29) and (OR 1.78, CI: 1.38-2.29), respectively]. The shock was significantly higher (OR 1.95, CI: 1.45-2.63), and vascular complications were significantly lower (OR 0.51, CI: 0.26-0.99) in Group 1. The incidence of stroke, cardiac tamponade, or conversion to open surgery did not differ between groups [OR 0.87, CI: 0.34-2.23), (OR 1.52, CI: 0.62-2.75), or (OR 0.53, 95% CI: 0.12-2.24), respectively]. Group 2 versus Group 3: long-term mortality was significantly higher in Group 2 (OR 3.56, CI: 2.53-5.02) without a difference in short-term mortality (OR 4.92, CI: 0.91-26.72) or conversion to open surgery (OR 0.92, CI: 0.45-1.91) between groups. Conclusion: In patients who are undergoing M-TEER, impaired kidney function may be associated with increased odds of mortality in comparison with absence or mild kidney impairment.
Full text article
References
[1] T. Feldman et al., “Percutaneous Mitral Valve Repair Using the Edge-to-Edge Technique: Six-Month Results of the EVEREST Phase I Clinical Trial,” Journal of the American College of Cardiology, vol. 46, no. 11, pp. 2134–2140, Dec. 2005, doi: 10.1016/j.jacc.2005.07.065.
[2] Feldman Ted et al., “Percutaneous Repair or Surgery for Mitral Regurgitation,” New England Journal of Medicine, vol. 364, no. 15, pp. 1395–1406, 2011, doi: 10.1056/NEJMoa1009355.
[3] Abbott Medical Devices, “A Continued Access Registry of the Evalve® MitraClip® System: EVEREST II Real World Expanded Multicenter Study of the MitraClip System (REALISM),” clinicaltrials.gov, Clinical trial registration NCT01931956, Nov. 2018. Accessed: Dec. 31, 2023. [Online]. Available: https://clinicaltrials.gov/study/NCT01931956
[4] S. Kar et al., “The everest ii realism continued access study: effectiveness of transcatheter reduction of significant mitral regurgitation in surgical candidates,” Journal of the American College of Cardiology, vol. 61, no. 10_Supplement, pp. E1959–E1959, Mar. 2013, doi: 10.1016/S0735-1097(13)61959-2.
[5] R. A. Nishimura et al., “2014 AHA/ACC Guideline for the Management of Patients With Valvular Heart Disease,” Journal of the American College of Cardiology, vol. 63, no. 22, pp. e57–e185, Jun. 2014, doi: 10.1016/j.jacc.2014.02.536.
[6] “Transcatheter Mitral-Valve Repair in Patients with Heart Failure | New England Journal of Medicine.” Accessed: May 13, 2024. [Online]. Available: https://www.nejm.org/doi/full/10.1056/NEJMoa1806640
[7] “Percutaneous Repair or Medical Treatment for Secondary Mitral Regurgitation | New England Journal of Medicine.” Accessed: May 13, 2024. [Online]. Available: https://www.nejm.org/doi/full/10.1056/NEJMoa1805374
[8] I. Safiriyu, S. Nagraj, R. Otulana, T. Saralidze, D. G. Kokkinidis, and R. Faillace, “Prognostic Impact of Pre- and Post-Procedural Renal Dysfunction on Late All-Cause Mortality Outcome Following Transcathe-ter Edge-to-Edge Repair of the Mitral Valve: A Systematic Review and Meta-Analysis,” Cardiovasc Re-vasc Med, vol. 42, pp. 6–14, Sep. 2022, doi: 10.1016/j.carrev.2022.03.023.
[9] C. P. Kovesdy, “Epidemiology of chronic kidney disease: an update 2022,” Kidney Int Suppl (2011), vol. 12, no. 1, pp. 7–11, Apr. 2022, doi: 10.1016/j.kisu.2021.11.003.
[10] “Ottawa Hospital Research Institute.” Accessed: Aug. 22, 2024. [Online]. Available: https://www.ohri.ca/programs/clinical_epidemiology/oxford.asp
[11] “Cochrane Handbook for Systematic Reviews of Interventions.” Accessed: Dec. 01, 2023. [Online]. Avail-able: https://training.cochrane.org/handbook/current
[12] H. Raheja et al., “Association of baseline kidney disease with outcomes of transcatheter mitral valve repair by MitraClip,” Catheter Cardiovasc Interv, vol. 97, no. 6, pp. E857–E867, May 2021, doi: 10.1002/ccd.29129.
[13] R. Estévez-Loureiro et al., “Effect of advanced chronic kidney disease in clinical and echocardiographic outcomes of patients treated with MitraClip system,” Int J Cardiol, vol. 198, pp. 75–80, Nov. 2015, doi: 10.1016/j.ijcard.2015.06.137.
[14] A. Sisinni et al., “Effect of Chronic Kidney Disease on 5-Year Outcome in Patients With Heart Failure and Secondary Mitral Regurgitation Undergoing Percutaneous MitraClip Insertion,” Am J Cardiol, vol. 171, pp. 105–114, May 2022, doi: 10.1016/j.amjcard.2022.01.048.
[15] N. Beohar et al., “Impact of baseline renal dysfunction on cardiac outcomes and end-stage renal disease in heart failure patients with mitral regurgitation: the COAPT trial,” Eur Heart J, vol. 43, no. 17, pp. 1639–1648, May 2022, doi: 10.1093/eurheartj/ehac026.
[16] Y. Ohno et al., “Impact of chronic kidney disease on outcomes after percutaneous mitral valve repair with the MitraClip system: insights from the GRASP registry,” EuroIntervention, vol. 11, no. 14, pp. e1649-1657, Apr. 2016, doi: 10.4244/EIJV11I14A316.
[17] K. Sawalha et al., “Impact of chronic kidney disease on in-hospital outcomes and readmission rate after edge-to-edge transcatheter mitral valve repair,” Catheter Cardiovasc Interv, vol. 97, no. 4, pp. E569–E579, Mar. 2021, doi: 10.1002/ccd.29188.
[18] “Outcomes After Transcatheter Mitral Valve Repair in Patients With Renal Disease - PMC.” Accessed: May 19, 2024. [Online]. Available: https://www-ncbi-nlm-nih-gov.qulib.idm.oclc.org/pmc/articles/PMC6839891/
[19] H. B. Panchal et al., “In-hospital outcomes after transcatheter edge-to-edge mitral valve repair in patients with chronic kidney disease: An analysis from the 2010-2016 National inpatient sample,” Catheter Cardi-ovasc Interv, vol. 98, no. 6, pp. 1177–1184, Nov. 2021, doi: 10.1002/ccd.29712.
[20] C. M. Otto et al., “2020 ACC/AHA Guideline for the Management of Patients With Valvular Heart Dis-ease: A Report of the American College of Cardiology/American Heart Association Joint Committee on Clinical Practice Guidelines,” Circulation, vol. 143, no. 5, pp. e72–e227, Feb. 2021, doi: 10.1161/CIR.0000000000000923.
[21] K. S. Lee, D.-I. Park, J. Lee, O. Oh, N. Kim, and G. Nam, “Relationship between comorbidity and health outcomes in patients with heart failure: a systematic review and meta-analysis,” BMC Cardiovasc Disord, vol. 23, no. 1, p. 498, Oct. 2023, doi: 10.1186/s12872-023-03527-x.
[22] L. A. Inker et al., “A meta-analysis of GFR slope as a surrogate endpoint for kidney failure,” Nat Med, vol. 29, no. 7, pp. 1867–1876, Jul. 2023, doi: 10.1038/s41591-023-02418-0.
[23] “Incidence, mortality, and predictors of acute kidney injury in patients with heart failure: a systematic review - PMC.” Accessed: May 14, 2024. [Online]. Available: https://www-ncbi-nlm-nih-gov.qulib.idm.oclc.org/pmc/articles/PMC10682870/
[24] K. Marmagkiolis, A. Hakeem, D. G. Ebersole, C. Iliescu, I. Ates, and M. Cilingiroglu, “Clinical out-comes of percutaneous mitral valve repair with MitraClip for the management of functional mitral regurgi-tation,” Catheter Cardiovasc Interv, vol. 94, no. 6, pp. 820–826, Nov. 2019, doi: 10.1002/ccd.28203.
Authors
Copyright (c) 2024 Ashraf Ahmed, Fabricio Webber, Rasha Kaddoura, Mohamed Badheeb, Erica Marnet, Sandeep Nayak, Md Mashiul, Didien Meyahnwi, Abhinav Aggarwal, Gilead Lancaster

This work is licensed under a Creative Commons Attribution 4.0 International License.
Copyright / Open Access Policy: This journal provides immediate free open access and is distributed under the terms and conditions of the Creative Commons Attribution License (CC BY). This is an open-access journal which means readers can access it freely. Readers may read, download, copy, distribute, print, search, or link to the full texts of the articles for any lawful purpose without seeking prior permission from the publisher or author. This is consistent with the Budapest Open Access Initiative (BOAI) definition of open access.
Article Details
How to Cite
Most read articles by the same author(s)
- Zubair Shahid, Ahmed Mahfouz, Ashraf Ahmed, Alaa Rahhal, Dina Soliman, Mariam Imran, Elmustafa Abdalla, Unus Bedardeen, Mohammed Elmurtada, Firyal Ibrahim, Mohamed Yassin, Shehab Mohamed, Eptifibatide Induced Thrombocytopenia in Acute Coronary Syndrome: A Real-World Data , Journal of Heart Valve Disease Innovation: Vol. 30 No. 1 (2025)
- Ashraf Ahmed, Mohamed Badheeb, Kayla Boyea, Rasha Kaddoura, Fabricio Webber, Todd Lane, Gilead Lancaster, Management of Cardiogenic Shock in Mitral Valve Diseases: A Review Article , Journal of Heart Valve Disease Innovation: Vol. 29 No. 1 (2024)